2013年11月13日星期三

Intro to Metronidazole

Metronidazole's brand name is Flagyl. It is an antibiotic effective against anaerobic bacteria and certain parasites. Anaerobic bacteria are single-celled, living organisms that thrive in environments in which there is little oxygen (anaerobic environments) and can cause disease in the abdomen (bacterial peritonitis), liver (liver abscess), and pelvis (abscess of the ovaries and the Fallopian tubes). Giardia lamblia and ameba are intestinal parasites that can cause abdominal pain and diarrhea in infected individuals. Trichomonas is a vaginal parasite that causes inflammation of the vagina (vaginitis). Metronidazole selectively blocks some of the functions within the bacterial cells and the parasites resulting in their death.


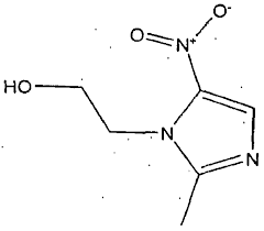
Name:Metronidazole

EINECS:207-136-1

Molecular Formula:C6H9N3O3

CAS Registry Number:443-48-1

Appearance:white to slightly yellow crystalline powder

Molecular Weight:171.15

Density:1.45 g/cm3

Boiling Point:405.4 °C at 760 mmHg

Melting Point:159-163℃

Flash Point:199 °C

Storage Temperature:2-8°C

Refractive index:1.612

Solubility:<0.1 g/100 mL at 20 °C in water

Stability:Stable. Incompatible with strong oxidizing agents.

Usage:Microbiocide.

Chemical Properties: white to slightly yellow crystalline powder

Usage: Used as an antibacterial in the treatment of rosacea. Antiprotozoal (trichomonas). A potential human carcinogen.

General Description: White to pale-yellow crystalline powder with a slight odor. Bitter and saline taste. pH (saturated aqueous solution) about 6.5.

Air & Water Reactions: Insoluble in water.

Reactivity Profile: Metronidazole darkens on exposure to light. Metronidazole is incompatible with strong oxidizing agents. .


Fire Hazard :Flash point data for Metronidazole are not available; however, Metronidazole is probably combustible.

没有评论:

发表评论